ȨÀ¸·Î | ·Î±×ÀÎ | ȸ¿ø°¡ÀÔ |
±³È¸È¨ 2026 Ç¥¾î : Àü½ÉÀ¸·Î ±â»µÇÏ´Â ±³È¸(½À 3:14) www.adpc.or.kr ÇöÀç½Ã°£
±ÝÁÖÀÇ ±³È¸¼Ò½Ä
±ÝÁÖÀÇ ¿¹¹è¾È³»
ÀÚÀ¯°Ô½ÃÆÇ
°øÁö»çÇ×
±³È¸ÀÏÁ¤(Ä«·»´Ù)
Æ÷Åä´º½º
¿µ»ó´º½º
½Å¾ÓÄ®·³
Çà»ç¾È³»
ÀÌÁÖÀÇ ¸»¾¸
ÀºÇý³ª´®
¿Â¶óÀÎ ÁÖº¸
¿Â¶óÀÎ ÁÖº¸ ÇöÀçÀ§Ä¡ : Ȩ > ¾Èµ¿±³È¸ ´º½º¿Í °Ô½ÃÆÇ > ¿Â¶óÀÎ ÁÖº¸

 

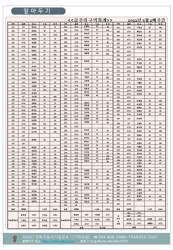
   6¿ù 19ÀÏ ÁÖº¸ÀÔ´Ï´Ù 2022-06-19 07:37:15  
  À̸§ : °ü¸®ÀÚ      Á¶È¸ : 374      








6¿ù 19ÀÏ ÁÖº¸ÀÔ´Ï´Ù


6¿ù 12ÀÏ ÁÖº¸ ÀÔ´Ï´Ù
6¿ù 26ÀÏ ÁÖº¸ÀÔ´Ï´Ù
¸ñ·Ï

Copyright ¨Ï 2009 ¾Èµ¿±³È¸ All rights reserved.
´ëÇ¥ : ¾Èµ¿±³È¸ / ÀüÈ­ : 054) 858-2000/2001 / ÆÑ½º : 054) 858-2002  Designed by andong.com